Упр.430 ГДЗ Макарычев Миндюк 9 класс (Углубленный) (Алгебра)
Решение #1

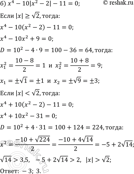
Рассмотрим вариант решения задания из учебника Макарычев, Миндюк, Нешков 9 класс, Просвещение:
430. Найдите корни уравнения:
а) x^4-6|x^2-1|-6=0, принадлежащие промежутку (—4; 4);
б) x^4-10|x^2-2|-11=0, принадлежащие промежутку (—6; 6).
*размещая тексты в комментариях ниже, вы автоматически соглашаетесь с пользовательским соглашением