Упр.444 ГДЗ Колягин Ткачёва 7 класс (Алгебра)
Решение #1

Рассмотрим вариант решения задания из учебника Колягин, Ткачёва, Фёдорова 7 класс, Просвещение:
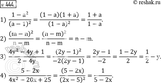
444. Разложить на множители числитель и знаменатель дроби и сократить ее:
1) (1-a^2)/(a-1)^2 ;
2) (m-n)^2/(n-m);
3) (4y^2-4y+1)/(2-4y);
4) (5-2x)/(4x^2-20x+25).
*размещая тексты в комментариях ниже, вы автоматически соглашаетесь с пользовательским соглашением