Упр.475 ГДЗ Колягин Ткачёва 7 класс (Алгебра)
Решение #1

Рассмотрим вариант решения задания из учебника Колягин, Ткачёва, Фёдорова 7 класс, Просвещение:
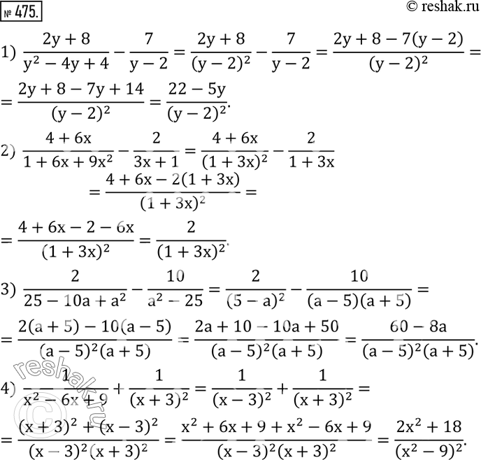
475. Упростить:
1) (2y+8)/(y^2-4y+4)-7/(y-2);
2) (4+6x)/(1+6x+9x^2 )-2/(3x+1);
3) 2/(25-10a+a^2 )-10/(a^2-25);
4) 1/(x^2-6x+9)+1/(x+3)^2 .
*размещая тексты в комментариях ниже, вы автоматически соглашаетесь с пользовательским соглашением