Упр.502 ГДЗ Колягин Ткачёва 7 класс (Алгебра)
Решение #1

Рассмотрим вариант решения задания из учебника Колягин, Ткачёва, Фёдорова 7 класс, Просвещение:
502. Найти значение выражения:
1) x^2-(x^3-4xy^2)/(x^3-2x^2 y+xy^2 )•(x^2-2xy+y^2)/(x-2y) при x=-5; y=-1/2;
2) 3/2-(3n^2-6n+3)/(2n^2+2n+2) :(n-1)/(n^3+n^2+n) при n=1/3;
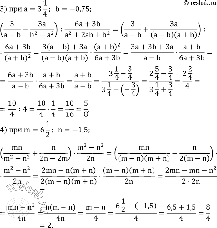
3) (3/(a-b)-3a/(b^2-a^2 )) :(6a+3b)/(a^2+2ab+b^2 ) при a=3 1/4; b=-0,75;
4) (mn/(m^2-n^2 )+n/(2n-2m))•(m^2-n^2)/2n при m=6 1/2; n=-1,5.
*размещая тексты в комментариях ниже, вы автоматически соглашаетесь с пользовательским соглашением