Упр.580 ГДЗ Бунимович Кузнецова 6 класс (Математика)

Решение #1

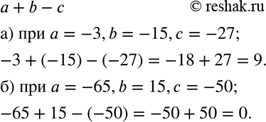
Изображение 580 Поставьте в выражение а + b - с указанные числа и выполните вычисления:а) а = -3, b = -15, с = -27;	б) а = -65, b = 15, с =...

Рассмотрим вариант решения задания из учебника Бунимович, Кузнецова, Минаева 6 класс, Просвещение:
580 Поставьте в выражение а + b - с указанные числа и выполните вычисления:
а) а = -3, b = -15, с = -27;
б) а = -65, b = 15, с = -50.
*Цитирирование задания со ссылкой на учебник производится исключительно в учебных целях для лучшего понимания разбора решения задания.
*размещая тексты в комментариях ниже, вы автоматически соглашаетесь с пользовательским соглашением