Упр.647 ГДЗ Макарычев Миндюк 9 класс (Углубленный) (Алгебра)
Решение #1

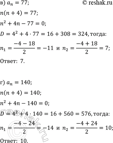
Рассмотрим вариант решения задания из учебника Макарычев, Миндюк, Нешков 9 класс, Просвещение:
647. Последовательность задана формулой a_n=n(n+4). Является ли указанное число членом последовательности и если да, то каков его номер: а) 30; б) 45; в) 77; г) 140?
*размещая тексты в комментариях ниже, вы автоматически соглашаетесь с пользовательским соглашением