Упр.662 ГДЗ Макарычев Миндюк 9 класс (Углубленный) (Алгебра)
Решение #1

Рассмотрим вариант решения задания из учебника Макарычев, Миндюк, Нешков 9 класс, Просвещение:
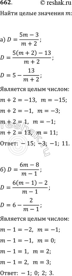
662. При каких целых значениях параметра m значение дроби является целым числом:
а) (5m-3)/(m+2); б) (6m-8)/(m-1)?
*размещая тексты в комментариях ниже, вы автоматически соглашаетесь с пользовательским соглашением