Упр.663 ГДЗ Бунимович Кузнецова 6 класс (Математика)

Решение #1

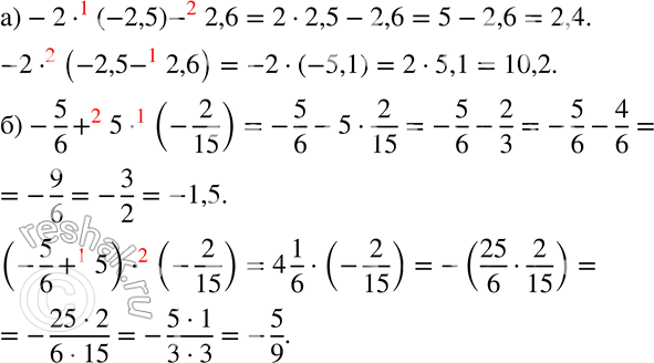
Изображение 663 Определите порядок действий и найдите значения выражений:а) -2 * (-2,5) - 2,6 и -2 * (-2,5 - 2,6); б) -5/6 + 5 * (-2/15)  и (-5/6 + 5) *...

Рассмотрим вариант решения задания из учебника Бунимович, Кузнецова, Минаева 6 класс, Просвещение:
663 Определите порядок действий и найдите значения выражений:
а) -2 * (-2,5) - 2,6 и -2 * (-2,5 - 2,6);
б) -5/6 + 5 * (-2/15) и (-5/6 + 5) * (-2/15).
*Цитирирование задания со ссылкой на учебник производится исключительно в учебных целях для лучшего понимания разбора решения задания.
*размещая тексты в комментариях ниже, вы автоматически соглашаетесь с пользовательским соглашением