Упр.668 ГДЗ Макарычев Миндюк 9 класс (Углубленный) (Алгебра)
Решение #1

Рассмотрим вариант решения задания из учебника Макарычев, Миндюк, Нешков 9 класс, Просвещение:
668. Исследуйте на монотонность последовательность (a_n), заданную формулой:
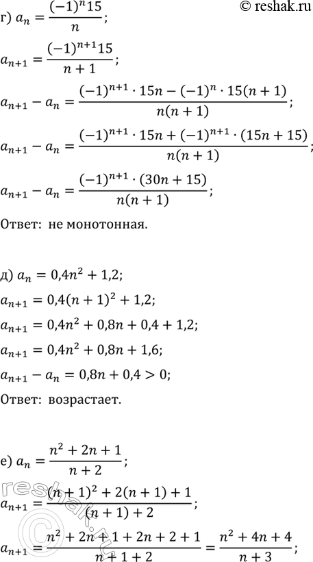
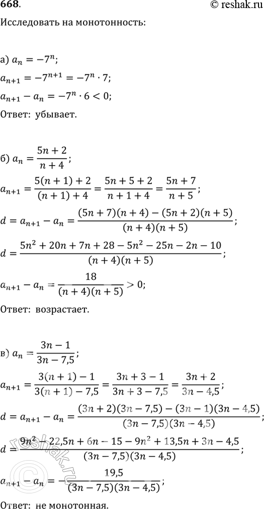
а) a_n=-7^n; г) a_n=(-1)^n 15/n; ж) a_n=n^2-36n;
б) a_n=(5n+2)/(n+4); д) a_n=0,4n^2+1,2; з) a_n=(n+2)/(n^2+4).
в) a_n=(3n-1)/(3n-7,5); е) a_n=(n^2+2n+1)/(n+2);
*размещая тексты в комментариях ниже, вы автоматически соглашаетесь с пользовательским соглашением