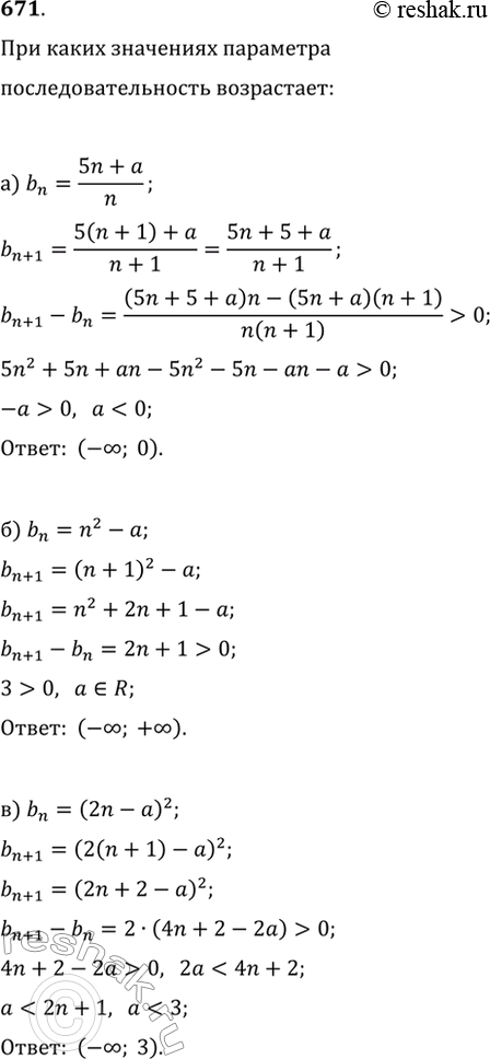
Упр.671 ГДЗ Макарычев Миндюк 9 класс (Углубленный) (Алгебра)
Решение #1

Рассмотрим вариант решения задания из учебника Макарычев, Миндюк, Нешков 9 класс, Просвещение:
671. При каких значениях параметра а является возрастающей последовательность (b_n), заданная формулой:
а) b_n=(5n+a)/n; б) b_n=n^2-a; в) b_n=(2n-a)^2?
*размещая тексты в комментариях ниже, вы автоматически соглашаетесь с пользовательским соглашением