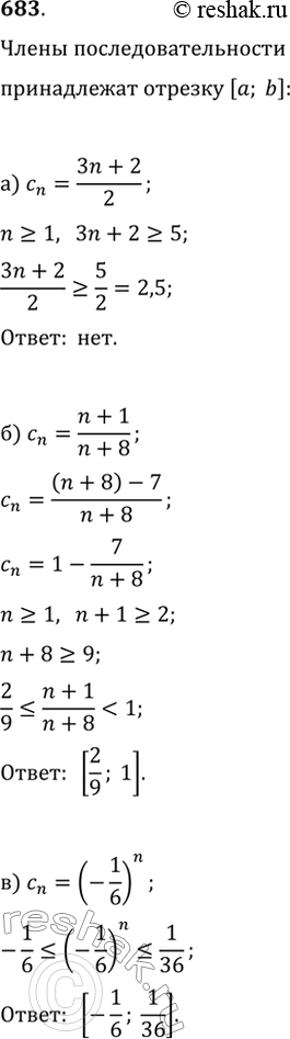
Упр.683 ГДЗ Макарычев Миндюк 9 класс (Углубленный) (Алгебра)
Решение #1

Рассмотрим вариант решения задания из учебника Макарычев, Миндюк, Нешков 9 класс, Просвещение:
683. Укажите, если возможно, какой-либо промежуток [a; b] на координатной прямой, которому принадлежат все точки, изображающие члены последовательности (c_n), если:
а) c_n=(3n+2)/2; б) c_n=(n+1)/(n+8); в) c_n=(-1/6)^n.
*размещая тексты в комментариях ниже, вы автоматически соглашаетесь с пользовательским соглашением