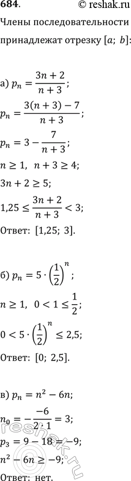
Упр.684 ГДЗ Макарычев Миндюк 9 класс (Углубленный) (Алгебра)
Решение #1

Рассмотрим вариант решения задания из учебника Макарычев, Миндюк, Нешков 9 класс, Просвещение:
684. Укажите, если возможно, значенияa a и b, при которых все члены последовательности изображаются в координатной плоскости точками, принадлежащими полосе, ограниченной прямыми y=a и y=b:
а) p_n=(3n+2)/(n+3); б) p_n=5·(1/2)^n; в) p_n=n^2-6n.
*размещая тексты в комментариях ниже, вы автоматически соглашаетесь с пользовательским соглашением