Упр.72 ГДЗ Макарычев Миндюк 9 класс (Углубленный) (Алгебра)
Решение #1

Рассмотрим вариант решения задания из учебника Макарычев, Миндюк, Нешков 9 класс, Просвещение:
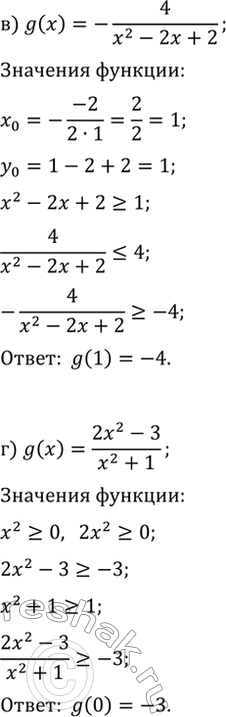
72. Найдите наименьшее значение функции и значение аргумента, при котором функция это значение принимает:
а) g(x)=|x-3|-2; в) g(x)=-4/(x^2-2x+2);
б) g(x)=(x-3)/(v(x-2)+1); г) g(x)=(2x^2-3)/(x^2+1).
*размещая тексты в комментариях ниже, вы автоматически соглашаетесь с пользовательским соглашением