Упр.733 ГДЗ Макарычев Миндюк 9 класс (Углубленный) (Алгебра)
Решение #1

Рассмотрим вариант решения задания из учебника Макарычев, Миндюк, Нешков 9 класс, Просвещение:
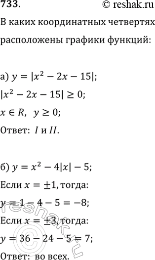
733. В каких координатных четвертях расположен график функции:
а) y=|x^2-2x-15|; б) y=x^2-4|x|-5?
*размещая тексты в комментариях ниже, вы автоматически соглашаетесь с пользовательским соглашением