Упр.752 ГДЗ Бунимович Кузнецова 6 класс (Математика)

Решение #1

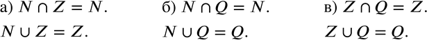
Изображение 752 Найдите объединение и пересечение множеств: а) N и Z;	б) N и Q;	в) Z и Q.Указание. Запишите ответ с использованием символов объединение и...

Рассмотрим вариант решения задания из учебника Бунимович, Кузнецова, Минаева 6 класс, Просвещение:
752 Найдите объединение и пересечение множеств:
а) N и Z;
б) N и Q;
в) Z и Q.
Указание. Запишите ответ с использованием символов объединение и пересечение.
*Цитирирование задания со ссылкой на учебник производится исключительно в учебных целях для лучшего понимания разбора решения задания.
*размещая тексты в комментариях ниже, вы автоматически соглашаетесь с пользовательским соглашением