Упр.764 ГДЗ Макарычев Миндюк 9 класс (Углубленный) (Алгебра)
Решение #1

Рассмотрим вариант решения задания из учебника Макарычев, Миндюк, Нешков 9 класс, Просвещение:
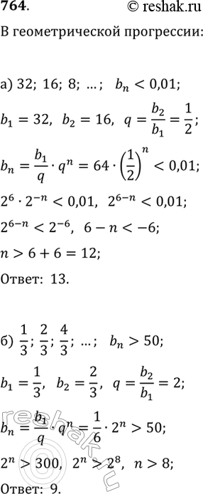
764. Начиная с какого номера члены геометрической прогрессии
а) 32, 16, 8, ... меньше 0,01; б) 1/3, 2/3, 4/3, ... больше 50?
*размещая тексты в комментариях ниже, вы автоматически соглашаетесь с пользовательским соглашением