Упр.780 ГДЗ Колягин Ткачёва 7 класс (Алгебра)
Решение #1

Рассмотрим вариант решения задания из учебника Колягин, Ткачёва, Фёдорова 7 класс, Просвещение:
780. Решить уравнение:
1) (4x-3)/2-(5-2x)/3-(3x-7)/6=0;
2) (2x-3)/2-(3-4x)/4-(3-5x)/8=0;
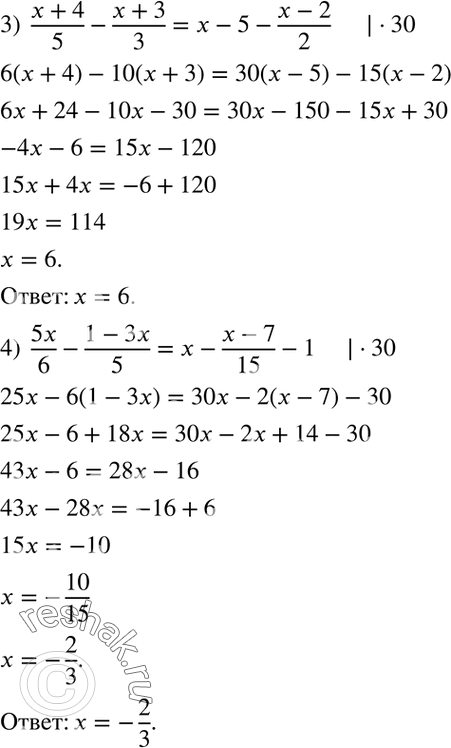
3) (x+4)/5-(x+3)/3=x-5-(x-2)/2;
4) 5x/6-(1-3x)/5=x-(x-7)/15-1.
*размещая тексты в комментариях ниже, вы автоматически соглашаетесь с пользовательским соглашением