Упр.789 ГДЗ Макарычев Миндюк 9 класс (Углубленный) (Алгебра)
Решение #1

Рассмотрим вариант решения задания из учебника Макарычев, Миндюк, Нешков 9 класс, Просвещение:
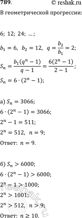
789. Сколько членов геометрической прогрессии 6, 12, 24, ... надо сложить, чтобы полученная сумма была: а) равна 3066; б) больше 6000?
*размещая тексты в комментариях ниже, вы автоматически соглашаетесь с пользовательским соглашением