Упр.805 ГДЗ Макарычев Миндюк 9 класс (Углубленный) (Алгебра)
Решение #1

Рассмотрим вариант решения задания из учебника Макарычев, Миндюк, Нешков 9 класс, Просвещение:
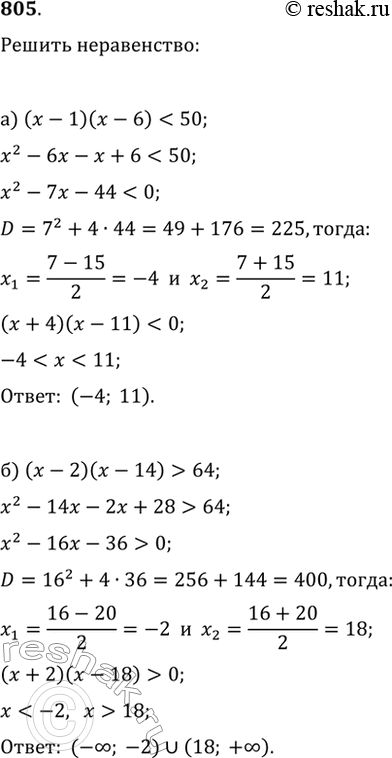
805. Решите неравенство:
а) (x-1)(x-6)<50; б) (x-2)(x-14)>64.
*размещая тексты в комментариях ниже, вы автоматически соглашаетесь с пользовательским соглашением