Упр.826 ГДЗ Макарычев Миндюк 9 класс (Углубленный) (Алгебра)
Решение #1

Рассмотрим вариант решения задания из учебника Макарычев, Миндюк, Нешков 9 класс, Просвещение:
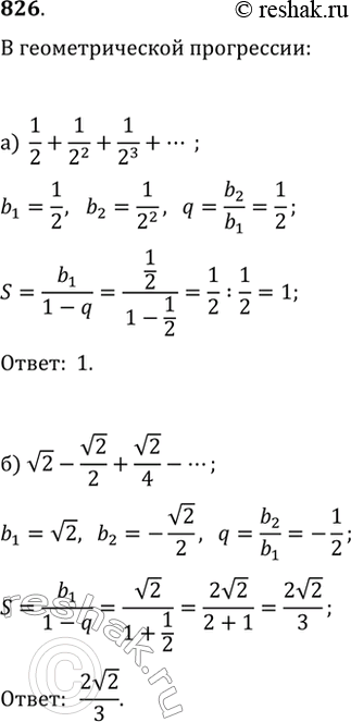
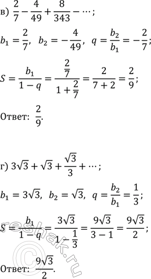
826. Найдите сумму, слагаемые в которой являются членами бесконечно убывающей геометрической прогрессии:
а) 1/2+1/2^2+1/2^3+...; в) 2/7-4/49+8/343-...;
б) v2-v2/2+v2/4-...; г) 3v3+v3+v3/3+... .
*размещая тексты в комментариях ниже, вы автоматически соглашаетесь с пользовательским соглашением