Упр.828 ГДЗ Макарычев Миндюк 9 класс (Углубленный) (Алгебра)
Решение #1

Рассмотрим вариант решения задания из учебника Макарычев, Миндюк, Нешков 9 класс, Просвещение:
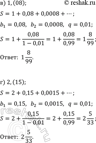
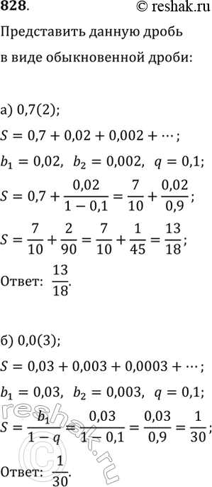
828. Представьте в виде обыкновенной дроби число:
а) 0,7(2); б) 0.0(3); в) 1,(08); г) 2,(15).
*размещая тексты в комментариях ниже, вы автоматически соглашаетесь с пользовательским соглашением