Упр.86 ГДЗ Колягин Ткачёва 7 класс (Алгебра)
Решение #1

Рассмотрим вариант решения задания из учебника Колягин, Ткачёва, Фёдорова 7 класс, Просвещение:
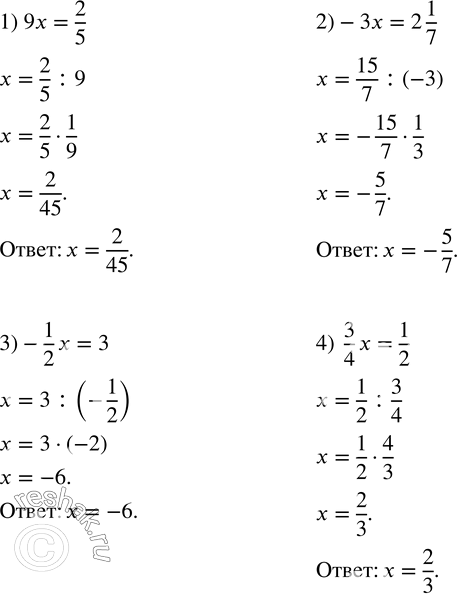
86. Решить уравнение:
1) 9x=2/5;
2) -3x=2 1/7;
3) -1/2 x=3;
4) 3/4 x=1/2.
*размещая тексты в комментариях ниже, вы автоматически соглашаетесь с пользовательским соглашением