Контрольные вопросы Параграф 11 ГДЗ Макарычев Миндюк 9 класс (Углубленный) (Алгебра)
Решение #1

Рассмотрим вариант решения задания из учебника Макарычев, Миндюк, Нешков 9 класс, Просвещение:
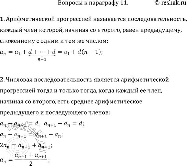
1. Сформулируйте определение арифметической прогрессии. Выведите формулу n-го члена.
2. Сформулируйте и докажите характеристическое свойство арифметической прогрессии.
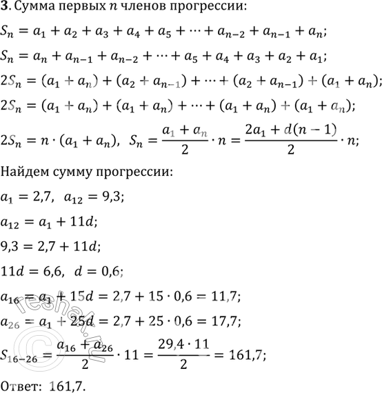
3. Выведите формулу суммы первых n членов арифметической прогрессии. Для арифметической прогрессии найдите сумму членов с шестнадцатого по двадцать шестой включительно, если a_1=2,7, a_12=9,3.
*размещая тексты в комментариях ниже, вы автоматически соглашаетесь с пользовательским соглашением