Упр.17.45 ГДЗ Мордкович 9 класс (Алгебра)
Решение #1
Решение #2

Рассмотрим вариант решения задания из учебника Мордкович 9 класс, Мнемозина:
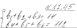
17.45. Составьте конечную геометрическую прогрессию из шести членов, зная, что сумма трех первых членов равна 14, а трех последних 112.
*размещая тексты в комментариях ниже, вы автоматически соглашаетесь с пользовательским соглашением