Упр.14.11 ГДЗ Мордкович 9 класс (Алгебра)
Решение #1
Решение #2

Рассмотрим вариант решения задания из учебника Мордкович 9 класс, Мнемозина:
Выполните указанные действия:
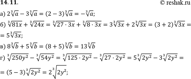
14.11 а) 2 корень 3 степени а - 3 корень 3 степени а;
б) корень 3 степени 81x + корень 3 степени 24x;
в) 8 корень 3 степени b + 5 корень 3 степени b;
г) корень 3 степени 250у2 - корень 3 степени 54у2.
*размещая тексты в комментариях ниже, вы автоматически соглашаетесь с пользовательским соглашением