Упр.14.6 ГДЗ Мордкович 9 класс (Алгебра)
Решение #1
Решение #2

Рассмотрим вариант решения задания из учебника Мордкович 9 класс, Мнемозина:
Внесите множитель под знак радикала:
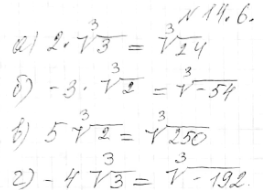
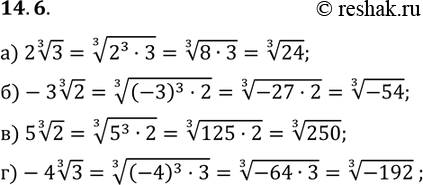
14.6. а) 2 корень 3 степени 3; б) -3 корень 3 степени 2; в) 5 корень 3 степени 2; г) -4 корень 3 степени 3.
*размещая тексты в комментариях ниже, вы автоматически соглашаетесь с пользовательским соглашением